Lógica
Material de Estudio
- Seymour Lipschutz y Marc Lars Lipson. Matemáticas Discretas, tercera edición. Mc Graw Hill, México 2009. Estudio secciones 4.1 a 4.8 páginas 70-76. Problemas resueltos páginas 82-84, suplementarios página 86
- Richard Johnsonbaugh. Matemáticas Discretas, sexta edición. Pearson Educación. México 2005. Estudio secciones 1.1. Proposiciones y 1.2. Proposiciones condicionales y equivalencia lógica. Contenido y ejercicios páginas 1-17. Autoevaluación secciones 1.1 y 1.2 páginas 73 y 74.
Ejercicios Propuestos
1. Identifique las proposiciones válidas y determine su valor de verdad:
- 1.1) New York es la capital de Estados Unidos
- 1.2) 2 + 2 = 5
- 1.3) ¿Los datos son suficientes para solucionar el problema?
- 1.4) Cierra la puerta
- 1.5) x >= 2
- 1.6) Formatea el disco antes de usarlo
- 1.7) Si x es un número impar entonces x por un número par es par
- 1.8) 123 es un número primo
- 1.9) Resuelva el problema enunciado
- 1.10) x>=0 y x<=5, si x = 12
2. Construya la tabla de verdad para las siguientes proposiciones compuestas:
- 2.1) ¬(¬ p)
- 2.2) ¬(¬ p ∨ ¬ q)
- 2.3) p ∧ (p ∨ q)
- 2.4) p ∨ ¬ q
- 2.5) (p ∨ q) ∧ ¬ q
- 2.6) ( p ∧ q ) ∨ r
- 2.7) (p ∨ q) ∧ (¬ q ∧ r)
3. Formule expresiones lógicas equivalentes para el siguiente enunciado:
Algoritmo que reciba una colección de datos y los guarde en una matriz cuadrada de tamaño definido por el usuario, sobre los datos se debe validar que no admita datos repetidos ni entre el rango de 10 a 20, además controlar que en la parte superior de la matriz sólo admita números pares y en la parte inferior impares, en la diagonal no se puede ubicar ningún dato. Hay dos opciones, una, que los datos que no cumplan lo requerido se omitan y se siga el proceso, y la otra, que restringa la entrada de cada posición de la matriz hasta que no se cumpla las condiciones dadas. La matriz se imprime al finalizar el proceso. Una variante del ejercicio podría ser que el usuario defina si el orden de ingreso de datos es por filas o por columnas.
4. Escriba el algoritmo para NetBeans del problema anterior aplicando las expresiones lógicas definidas.
5. Determinar, utilizando tablas de verdad, si las siguientes fórmulas son tautologías, contradicciones o contingencias:
- 5.1) (p ∨¬ p)
- 5.2) (p ∧¬ p)
- 5.3) ((¬p ∨ q) ↔ (p → q))
- 5.4) ((p ∨ q) → p)
- 5.5) (¬(p ∧ q) ↔ ( ¬p ∨¬q))
- 5.6) (p → p)
- 5.7) ((p ∧q) →p)
- 5.8) (( p →(q → r)) → ((p →q) →(p →r)))
- 5.9) ((p ∧ (q ∨ r)) ↔ ((p ∧ q) ∨ (p ∧ r)))
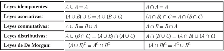
6. Compruebe la esquivalencias lógicas de las leyes del álgebra proposicional utilizando tablas de verdad.
- 6.1) Leyes idempotentes: a) (p ∨ p) ≡ p b) (p ʌ p) ≡ p
- 6.2) Leyes Asociativas: a) [(p ∨ q) V r] ≡ [p ∨ (q ∨ r)] b) [(p ʌ q) ʌ r] ≡ [p ʌ (q ʌ r)]
- 6.3) Leyes conmutativas: a) (p ∨ q) ≡ (q ∨ p) b) (p ʌ q) ≡ (q ʌ p) c) (p ↔ q) ≡ (q ↔ p)
- 6.4) Leyes distributivas: a) [p ∨ (q ʌ r)] ≡ [(p ∨ q) ʌ (p ∨ r)] b) [p ʌ (q ∨ r)] ≡ [(p ʌ q) ∨ (p ʌ r)]
- 6.5) Leyes de identidad (neutro): a) (p ∨ F) ≡ p b) (p ʌ V) ≡ p
- 6.6) Leyes de dominación: a) (p ∨ V) ≡ V b) (p ʌ F) ≡ F
- 6.7) Leyes de la contradicción: a) (p ∨ ¬ p) ≡ V b) (p ʌ ¬ p) ≡ F
- 6.8) Leyes de absorción total: a) p ∨ (p ʌ q) ≡ p b) p ʌ (p ∨ q) ≡ p
- 6.9) Leyes de absorción parcial: a) p ∨ ( ¬ p ʌ q) ≡ (p ∨ q) b) p ʌ (¬ p ∨ q) ≡ (p ʌ q)
- 6.10) Ley de doble negación: ¬ (¬ p) ≡ p
- 6.11) Leyes de Morgan: a) ¬ (p v q) ≡ (¬ p ʌ ¬ q) b) ¬ (p ʌ q) ≡ (¬ p v ¬ q)
- 6.11) Ley del condicional: (p → q) ≡ (¬ p ∨ q)
7. Verifique las siguientes implicaciones lógicas. a) Utilice tablas de verdad, b) y las leyes del álgebra proposicional
- 7.1) p ⇒ (p ∨ q) Adición
- 7.2) (p ʌ q) ⇒ p Simplificación
- 7.3) (p → F) ⇒ ¬ p Absurdo
- 7.4) [(p → q) ʌ p] ⇒ q Modus Ponens
- 7.5) [(p → q) ʌ ¬ q] ⇒ ¬ p Modus Tollens
- 7.6) [(p ∨ q) ʌ ¬ p] ⇒ q Silogismo disyuntivo
8. Verifique las siguientes equivalencias lógicas. a) Utilice tablas de verdad, b) y las leyes del álgebra proposicional
Variantes de la condicional
- 8.1) (p → q) ≡ ¬ (p ʌ ¬ q)
- 8.2) ¬ (p → q) ≡ (p ʌ ¬ q)
- 8.3) (p ∨ q) ≡ (¬ p → q)
- 8.4) (p ʌ q) ≡ ¬ (p → ¬ q)
- 8.5) [(p → r) ʌ (q → r)] ≡ [(p v q) → r] (Demostración por casos)
- 8.6) [(p → q) ʌ (p → r)] ≡ [p → (q ʌ r)]
- 8.7) (p → q) ≡ (¬ q → ¬ p) (Contrapositiva o contrarecíproca)
- 8.8) (p → q) ≡ (p ʌ ¬ q) → F (Reducción al absurdo)
Variantes de la bicondicional
- 8.9) (p ↔ q) ≡ [(p → q) ʌ (q → p)]
- 8.10) (p ↔ q) ≡ [(¬ p v q) ʌ (¬ q v p)]
- 8.11) (p ↔ q) ≡ [(p ʌ q) v (¬ p ʌ ¬ q)]
- 8.12) ¬ (p ↔ q) ≡ (p ʌ ¬ q) v (q ʌ ¬ p)
Teoría de Conjuntos
Material de Estudio
- Seymour Lipschutz y Marc Lars Lipson. Matemáticas Discretas, tercera edición. Mc Graw Hill, México 2009. Estudio secciones 1.1 - 1.5. Problemas resueltos páginas 12-14, suplementarios páginas 18 y 19
- REFERENCIA: Richard Johnsonbaugh. Matemáticas Discretas, sexta edición. Pearson Educación. México 2005. Estudio sección 2.1. Contenido y ejercicios páginas 76-87. Autoevaluación sección 2.1 página 114.
Ejercicios Propuestos
Ejercicios de Especificación de Conjuntos
Sean N={1,2,3,…} números naturales y Z={…-2,-1,0,1,2,…} números enteros
1. Enumere los elementos de los siguientes conjuntos:
- 1.1) A = {x|x ∈ N, 3 < x < 12}
- 1.2) A = {x|x ∈ N, x es par, x < 15}
- 1.3) A = {x|x ∈ N, 4 + x = 12}
- 1.4) A = {x|x ∈ Z, x2 +1 = 10}
2. Defina la característica asociadas a los siguientes elementos:
- 2.1) A = {2, 3, 5, 7, 11, 13, 19}
- 2.2) B = {-3, -1, 1, 3}
- 2.3) C = {3, 6, 9, …}
Ejercicios de Subconjuntos
3. Reescriba las siguientes declaraciones usando notación de conjuntos:
- 3.1) F contiene todos los elementos de G.
- 3.2) E y F contienen los mismos elementos
- 3.3) Cada uno de los elementos de E pertenecen a F, E ≠ F.
4. Cuáles de los siguientes conjuntos son subconjuntos de X = {a, b, c}, cuáles son propios de X
A = {a}, B = {a, c, b}, C = {c, a}, D = {c, b, a}, E = {b}, Ø
4. Dado X = {1, 2, 3}, Y = {2, 3, 4} y Z = {2}. Encuentre el conjunto W más grande que haga ciertas todas las sentencias siguientes: W ⊄ X, W ⊆ Y, Z ⊄ W
5. Dado X = {1, 2, 3} y Z = {1, 2, 3, 4, 5}. Encuentre todos los posibles conjuntos Y tal que X ⊂ Y, Y ⊂ Z, es decir, X es un subconjunto propio de Y y Y es subconjunto propio de Z.
Ejercicios de Diagramas de Venn
6. Represente con diagramas de Venn:
- 6.1) Dibuje el diagrama de Venn de los conjuntos A, B y C, donde A y B tienen elementos en común, B y C tienen elementos en común, pero A y C son disjuntos.
- 6.2) Dibuje el diagrama de Venn de los conjuntos A, B y C, donde A ⊆ B, los conjuntos A y C son disjuntos,pero B y C tienen elementos en común.
- 6.3) Dibuje el diagrama de Venn de los conjuntos A, B y C, donde A ⊆ B, los elementos de B y C son disjuntos, pero A y C tienen elementos comunes.
- 6.4) Dibuje el diagrama de Venn de los conjuntos A, B y C, los cuales dividirán el conjunto universal U en 8 regiones. Cuáles son las regiones donde puedan existir elementos.
Ejercicios de Operaciones con Conjuntos
7. Dados los conjuntos: U = {1, 2, 3, …, 8, 9} A = {1, 2, 3, 4} B = {2, 4, 6, 8} C = {3, 4, 5, 6}:
- Halle los conjuntos resultantes
- Represente cada caso con diagramas de Venn
- Formule cada caso en lenguaje proposicional y verifique cada caso con las tablas de verdad.
- Identifique casos de equivalencias lógicas y verifíquelas.
- 7.1) A ∩ (B ∪ C)
- 7.2) (A ∩ B) ∪ (A ∩ C)
- 7.3) Ac ∩ Bc
- 7.4) (A ∪ B)c
- 7.5) (A ∩ B) - C
- 7.6) (A ∪ B) - C
- 7.7) (A - C) ∩ B
- 7.8) (A - B)c
- 7.9) (Ac - C) ∩ B
- 7.10) A ∪ (B ∩ C)
- 7.11) Ac ∪ B ∪ C
- 7.12) A ∩ B ∩ Cc
Ejercicios Algebra de Conjuntos
8. Escriba la proposición lógica para cada ley del álgebra de conjuntos y compruebe su equivalencia utilizando las tablas de verdad.

9. Solucione con diagramas de Venn, notación de conjuntos y de forma proposicional
De una encuesta realizada a 604 personas en la empresa, se obtiene la siguiente información: 372 personas son casadas; 212 personas nacieron en Bogotá; 200 son hombres casados; 110 son hombres nacidos en Bogotá; 48 son hombres casados nacidos en Bogotá; 70 hombres son solteros y nacidos fuera de Bogotá; y las mujeres casadas no Bogotanas con 130.
- ¿Cuántos hombres casados nacieron fuera de Bogotá?
- ¿Cuántas mujeres solteras nacieron fuera de Bogotá?
Regresar